Malnominació a Catalunya Nord estudi sincrònic dels sobrenoms nord-catalans testimoniatges lingüístics i culturals
Pasqual Tirach
SUMARI DETALLAT
BIBLIOGRAFIA
Ressenya bibliogrAfica
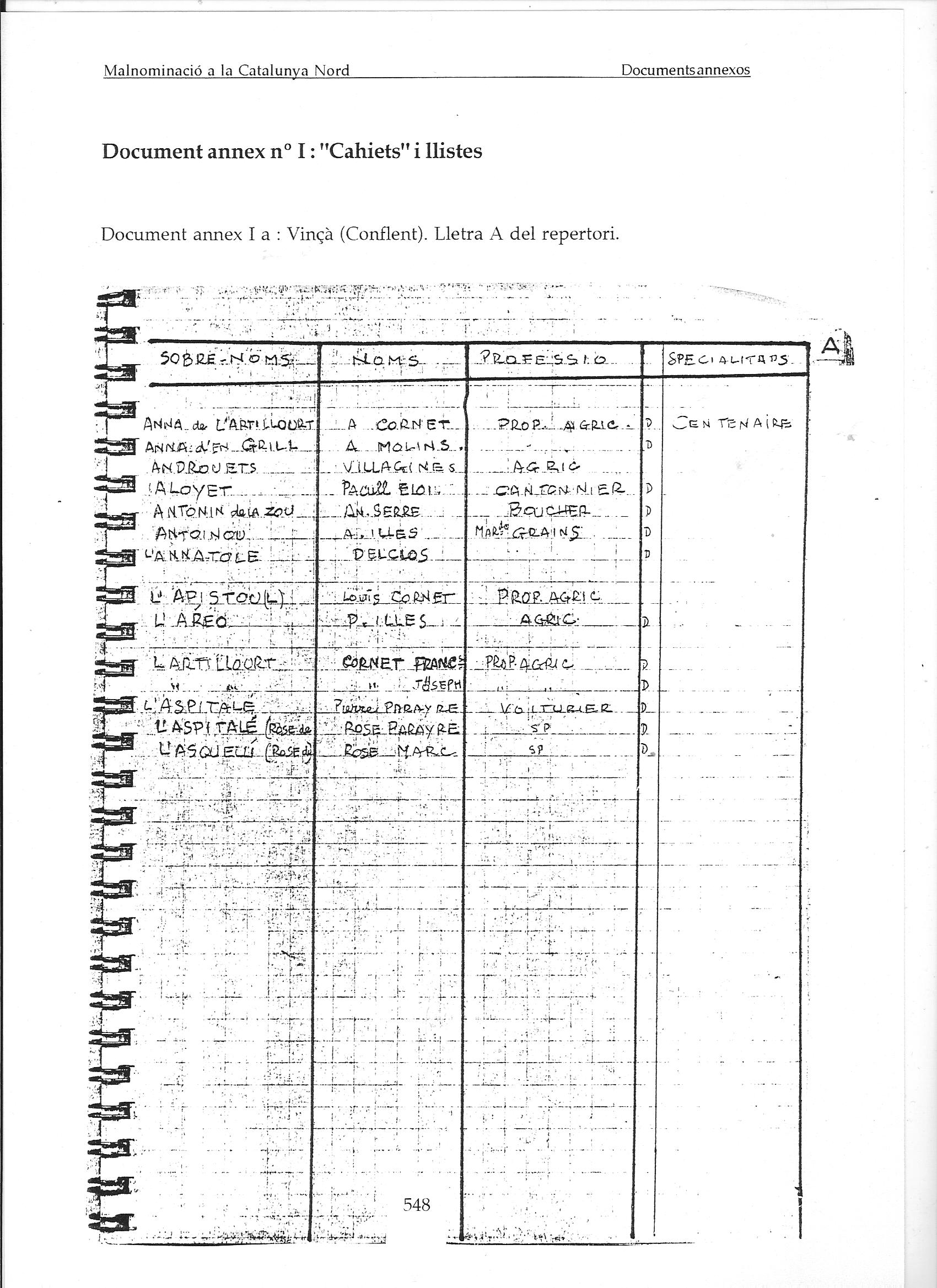
POBLES AIGUATÈBIA ALENYÀ ANGOSTRINA ARBOÇOLS ARGELERS ARLES BAGES BAIXAS BANYULS DE LA MARENDA BANYULS DELS ASPRES BAO BOLQUERA BOMPÀS BRULLÀ BULA D'AMUNT BULATERNERA CABESTANY CAIXÀS CALÇA CÀLDEGUES CALMELLA CAMELES CAMPOME CANAVELLES CANET CÀNOES CASEFABRE CASES DE PENA CASTELL CASTELLNOU CATLLAR CAUDIERS DE CONFLENT CERET CERVERA CIRACH CLAIRA CLARA CODALET CONAT CORBERA LA CABANA CORBERA CORNELLA DE CONFLENT CORNELLA DE LA RIBERA CORNELLÀ DEL BERCOL CORTSAVI COTLLIURE CUSTOJA DORRES EGAT EINA ELNA ELS ANGLES ENVEIG ERR ESCARO ESPIRA DE L'AGLI ESTAGELL ESTAVAR ESTOHER EUS EVOL FILLOLS FINESTRET FONTPEDROSA FONTRABIOSA FORMIGUERA FORQUES FULLA GLORIANES HIX ILLA JOCH JUJOLS LA BASTIDA LA CABANASSA LA LLAGUNA LA MENERA LA ROCA LA TOR DE QUEROL LA TORRE DEL BISBE L'ALBERA LES CLUSES LES ILLES LLAURÓ LLIVIA LLO LLOCAIA LLUPIA MASOS MATAMALA MENTET MILLARS MOLIG MONBOLO MONTESCOT MONTFERRER MONTLLUÍS MONTORIOL MORELLAS MOSSET MARQUIXANES MONTESQUIU NAHUJA NEFIACH NOEDES NYER ODELLO OLETA OMS OPOL URBANYÀ ORELLA ORTAFA OSSEJA PALALDA PARESTORTES PASSA PALAU DE CERDANYA PESILLÀ DE LA RIBERA PI PIA PLANES POLLESTRES PONTELLA PORTA PORTE PORTUS PORTVENDRES PRADA PRATS PRUNET PUIGVALEDOR PALAU DEL VIDRE RALLEU REAL REINERS RIBESALTES RIGARDA RIUNOGUERS RODES SAHORRA SALELLE SALLAGOSA SALSES SANÇA SANT ANDREU SANT ESTEVE SANT HIPOLIT SANT JOAN PLA DE CORTS SAUTO SERDINYA SERRALLONGA SANT FELIU D'AMUNT SANT FELIU D'AVALL SANT LLORENÇ DE CERDANS SANT LLORENÇ DE LA SALANCA SANTA MARIA SOANYES SOLER SANT PERE DELS FORCATS SANT CEBRIÀ SANT GENÍS SANT NAZARI SUREDA TALAU TALLET TALTEHULL TARERACH TARGASONA TAURINYA TECH TERRATS TESA TEULIS TOES TOLUGES TORDERES TORRELLES TRESSERA TRULLARS TUIR UR VALLCEBOLLERA VALLESTAVIA VALLMANYA VERNET VILALLONGA SALANCA VILALLONGA DELS MONTS VILAMULACA VILANOVA DE LA RAÒ VILANOVA DE LA RIBERA VINCA VINGRAU VOLO
Llista dels codis ALPO